File:Illinois-Commercial-Real-Estate-Purchase-Agreement ps1 v2c.pdf

From Pumping Station One
Go to page


Original file(1,275 × 1,650 pixels, file size: 101 KB, MIME type: application/pdf, 15 pages)

Summary

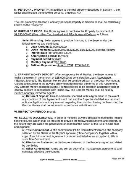
This is the offer letter that the board voted to sign on 7-15-25, as authorized by a member vote in June 2025.

File history

Click on a date/time to view the file as it appeared at that time.

Date/TimeDimensionsUserComment
current18:37, 15 July 20251,275 × 1,650, 15 pages (101 KB)Hawleynr (talk | contribs)This is the offer letter that the board voted to sign on 7-15-25, as authorized by a member vote in June 2025.

The following page uses this file:

Metadata

Cookies help us deliver our services. By using our services, you agree to our use of cookies.