Board Meeting Notes 2025-07-15

From Pumping Station One


Board Meeting Minutes
<< Board Meeting Notes 2025-07-01 2025 Board Meetings Board Meeting Notes 2025-08-05 >>

Meeting Start:

Attendance

  • Board Members
    • Nick
    • Peter
    • James
    • Donzell
    • Ian
    • Uwe (remote)
    • Eric (remote)


  • Other Members

Agenda

  • Consent Agenda
  • Committee Reports
  • Read mail
  • Financial/membership report
  • Review the PayPal and banking transactions
  • Member leaving reason reports
  • Check Freshdesk queue
  • New business
  • Old business

Minutes

Discussion on previous minutes

Consent Agenda

Committee Reports

Reports from Committees

Mail

  • Spam, three (3) pieces

Financial Report

  • Chase Checking: 107,313.15
  • Chase Savings: 100,010.92
  • PEX: 25,581.84
  • PayPal: 6,178.06
  • Building Fund165,000
  • Contingency Fund40,000
  • Total Available 34,083.97
    • note that the Building and Contingency funds are within the bank accounts, not separate from them

Membership Report

  • Number of Members: 702
  • Quorum: 71


Freshdesk

Login link: https://pumpingstationone.freshdesk.com

  • 38988, DAFgiving360 from Schwab
    • They need our tax exempt info to give us $1,000 from an anonymous donor
    • Nick is doing it because everyone else thought it was too easy to bother
  • 39001, Error updating payment info
    • Tried to update card, got error telling him to contact support
    • Ian will ask Claire about this

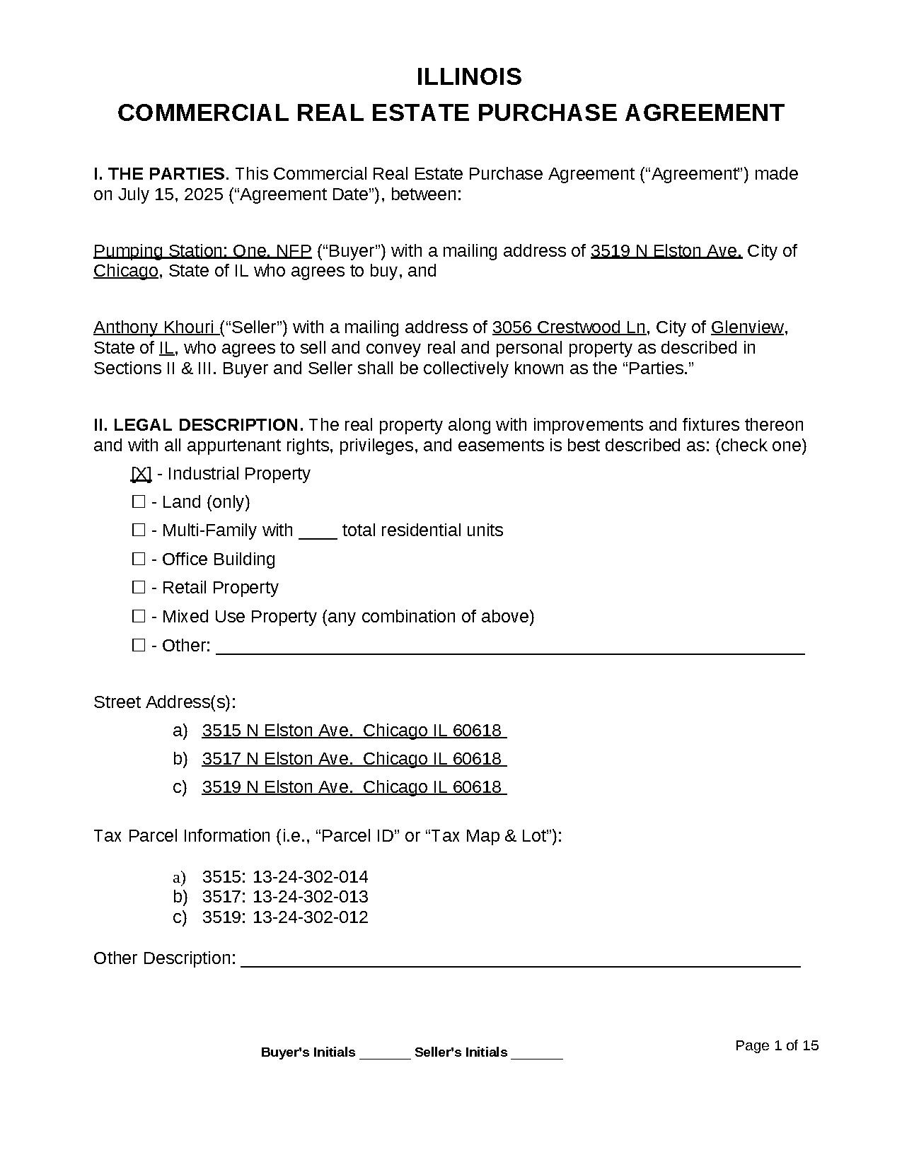
New Business

  • Building Purchase agreement
    • Carl updates a couple dates in the purchase agreement
    • The board votes to sign the agreement
    • Carl, James, and Nick will sign it soon
  • Illya steps down as PR Officer
    • He is busy
    • The board thanks him for his work and for telling us promptly
  • Uwe raises a concern about a duplicate membership payment
    • Nick says it's probably fine because they contacted info@ recently - it is two people, a couple.

Old Business

Votes

  • Board votes to sign and send the purchase agreement, v2c, as found in the building purchase discord channel at 7:21 pm
    • Those in favor: 7
    • Those against: 0
    • Those abstaining: 0
    • Illinois-Commercial-Real-Estate-Purchase-Agreement ps1 v2c.pdf
Cookies help us deliver our services. By using our services, you agree to our use of cookies.